色色动漫

学校主页 English

科研论文

当前位置: 色色动漫 >> 学科建设 >> 科研成果 >> 科研论文 >> 正文

色色动漫 汪庆祥课题组在国际学术期刊《Biosensors and Bioelectronics》上发表论文

2022-05-06

核酸适配体化学的出现为高选择性检测有毒重金属离子提供了一种新的策略。然而目前大多数已报道的核酸适配体传感器只能检测单一的重金属离子,其关键问题在于缺乏独立的信号来分别指示不同的金属离子与其适配体核酸的反应。此外,传统的带有电活性标签的适体制备方法复杂、耗时长,阻碍了适体传感器在重金属分析中的应用。

为了解决这些问题,色色动漫 汪庆祥课题组通过筛选出具有不同氧化还原电位的信号分子(尼罗蓝(NB)Cu2+-三聚氰胺(Cu2+-Mel))分别与Hg2+核酸适配体(HBA)Pb2+核酸适配体(PBA)在5’-末端修饰的功能基团共价结合,从而在一个传感界面集成了Pb2+Hg2+的电化学传感元件。基于适配子对靶的高度特异性识别和Cu2+-MelNb之间足够大的电化学势分离,所构建的双功能适配子传感器可以用于Pb2+Hg2+的独立和同时分析。这项工作为构建基于双信号的传感核酸适配体界面用于多目标物检测开辟了一种新的策略。

 

1 双信号传感器构建及工作原理示意图


 

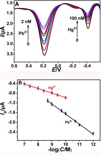
2 双信号传感界面用于Pb2+Hg2+的独立和同时检测信号变化图

传感分析性能研究表明,在1.0~2.0 nM0.1~100 nM的浓度范围内,Cu2+-MelNB峰电流(Ip)分别与Pb2+浓度(-lgCPb)Hg2+浓度(-lgCHg)的负对数值呈良好的线性关系。Pb2+Hg2+的检出限分别为0.98 pM19 pM,撒,均低于世界卫生组织(WHO)、美国环境保护局(USEPA)和中国卫生部国家标准化管理委员会规定的限值。

 

3 传感器用于Pb2+Hg2+的定量分析

相关成果发表在了传感领域的权威期刊Biosensors and Bioelectronics原文信息:Feng Gao, Fengping Zhan, Songling Li, Philip Antwi-Mensah, Li Niu, Qingxiang Wang*, Dual Signal-based Electrochemical Aptasensor for Simultaneous Analysis of Lead(II) and Mercury(II) in Environmental Water Samples, Biosensors and Bioelectronics, 2022, 209, 114280. 原文链接://www.sciencedirect.com/science/article/pii/S0956566322003207